Kalender next 42tg

Samstag März 21 - All Day
Frühlings Tag/Nachtgleiche

Event Kalender

März 2026
Mo Di Mi Do Fr Sa So
23 24 25 26 27 28 1
2 3 4 5 6 7 8
9 10 11 12 13 14 15
16 17 18 19 20 21 22
23 24 25 26 27 28 29
30 31 1 2 3 4 5

Banners


Antimicrobial, Antiviral and Antioxidant Activities of "água-mel" from Portugal

"Água-mel" is a honey-based product produced in Portugal for ancient times. Several attributes have been reported to "água-mel" particularly in the alleviation of simple symptoms of upper respiratory tract.

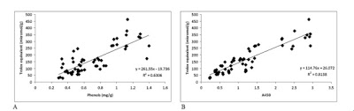
Samples of "água-mel" from diverse beekeepers from different regions of Portugal were studied in what concerns antimicrobial, antioxidant and antiviral properties. The amounts of phenol and brown pigment were also evaluated and correlated with the antioxidant activities. A great variability on the levels of these compounds was found among samples which were responsible for the variability detected also on the antioxidant activities, independent on the method used.

Generally, antioxidant activity correlated better with brown pigments' amount than with phenols' content. The antimicrobial activity found for "água-mel" samples confirm the virtues reported by popular findings. In addition, this work also reveals the antiviral properties of "água-mel" evidenced by a decrease on the infectivity of the Qβ bacteriophage.

Apitherapy News

Phänologie

Joho
Bruno Joho Gontenschwil - Varroa-Bekaempfung.Sehr zweckmässige Chromstahl Teile für Dadant und Sch…
More Links » JoelLipman.Com

aktualisierte Beiträge

Wetter

who is online

Aktuell sind 237 Gäste, 13 Bots und keine Mitglieder online


13 Bots:
8 x SemrushBot
2 x AhrefsBot
1 x bingbot
1 x YandexBot
1 x Googlebot